Официальное опубликование правовых актов
ОФИЦИАЛЬНОЕ ОПУБЛИКОВАНИЕ
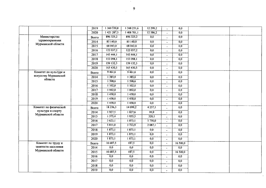
Постановление Правительства Мурманской области от 20.10.2017 № 496-ПП
"О внесении изменений в государственную программу Мурманской области "Социальная поддержка граждан"
Номер опубликования: 5100201710250002
Дата опубликования: 25.10.2017
Страница №10 из 30:
Увеличить