Официальное опубликование правовых актов
ОФИЦИАЛЬНОЕ ОПУБЛИКОВАНИЕ
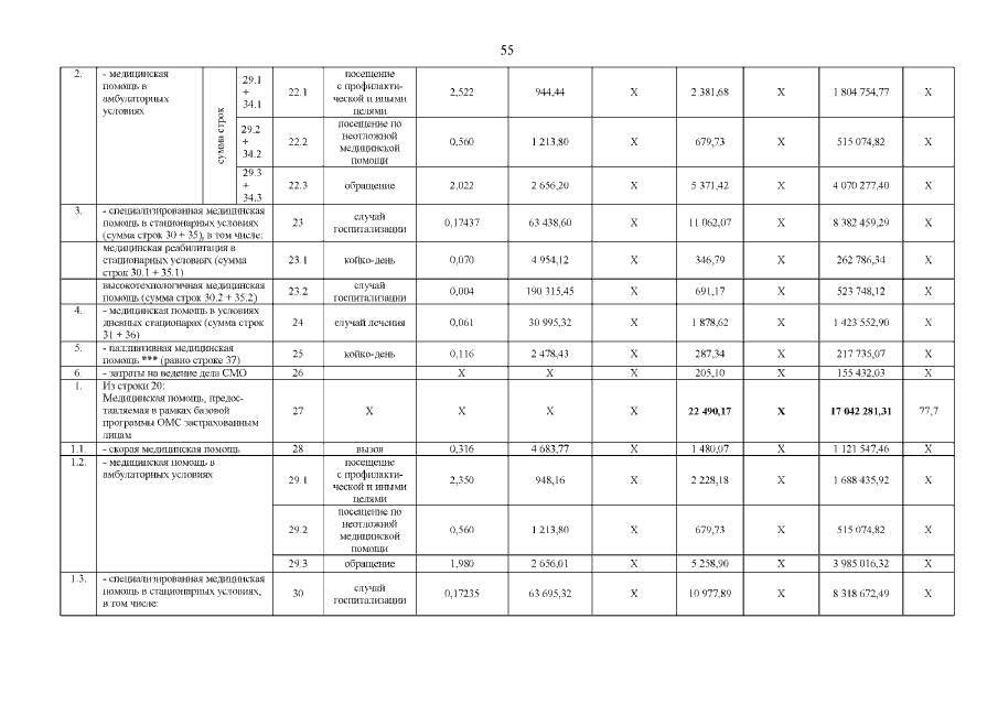
Закон Мурманской области от 22.12.2017 № 2213-01-ЗМО
"О Территориальной программе государственных гарантий бесплатного оказания гражданам медицинской помощи в Мурманской области на 2018 год и на плановый период 2019 и 2020 годов"
Номер опубликования: 5100201712250004
Дата опубликования: 25.12.2017
Страница №55 из 84:
Увеличить