Официальное опубликование правовых актов
ОФИЦИАЛЬНОЕ ОПУБЛИКОВАНИЕ
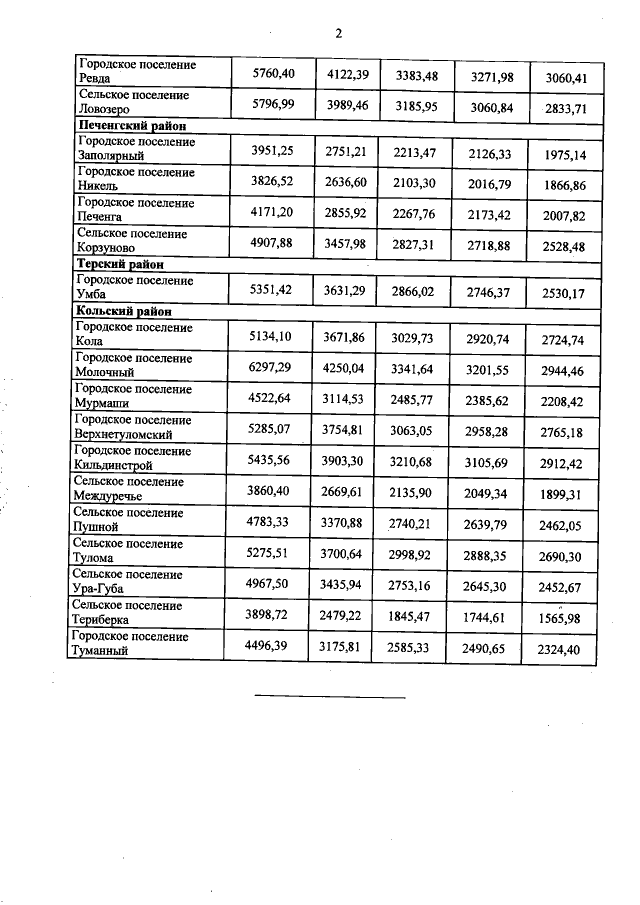
Постановление Правительства Мурманской области от 11.01.2018 № 7-ПП
"О региональных стандартах стоимости жилищно-коммунальных услуг на 2018 год"
Номер опубликования: 5100201801150010
Дата опубликования: 15.01.2018
Страница №3 из 7:
Увеличить