Официальное опубликование правовых актов
ОФИЦИАЛЬНОЕ ОПУБЛИКОВАНИЕ
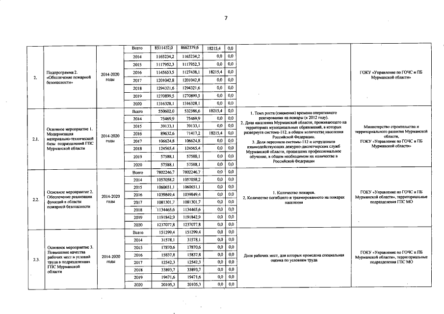
Постановление Правительства Мурманской области от 13.03.2018 № 111-ПП
"О внесении изменений в государственную программу Мурманской области "Обеспечение общественного порядка и безопасности населения региона"
Номер опубликования: 5100201803190004
Дата опубликования: 19.03.2018
Страница №8 из 13:
Увеличить