Официальное опубликование правовых актов
ОФИЦИАЛЬНОЕ ОПУБЛИКОВАНИЕ
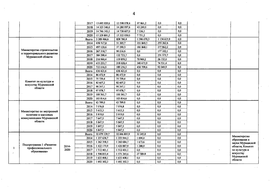
Постановление Правительства Мурманской области от 03.05.2018 № 193-ПП
"О внесении изменений в государственную программу Мурманской области "Развитие образования"
Номер опубликования: 5100201805100006
Дата опубликования: 10.05.2018
Страница №5 из 22:
Увеличить