Официальное опубликование правовых актов
ОФИЦИАЛЬНОЕ ОПУБЛИКОВАНИЕ
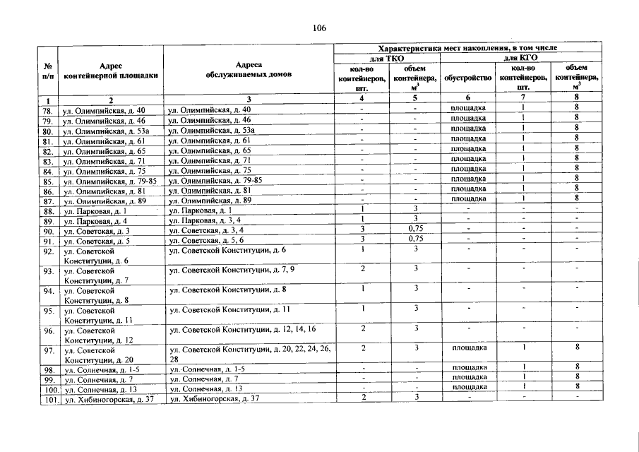
Постановление Правительства Мурманской области от 15.05.2018 № 207-ПП
"О внесении изменений в территориальную схему обращения с отходами, в том числе с твердыми коммунальными отходами, Мурманской области"
Номер опубликования: 5100201805210004
Дата опубликования: 21.05.2018
Страница №108 из 226:
Увеличить