Официальное опубликование правовых актов
ОФИЦИАЛЬНОЕ ОПУБЛИКОВАНИЕ
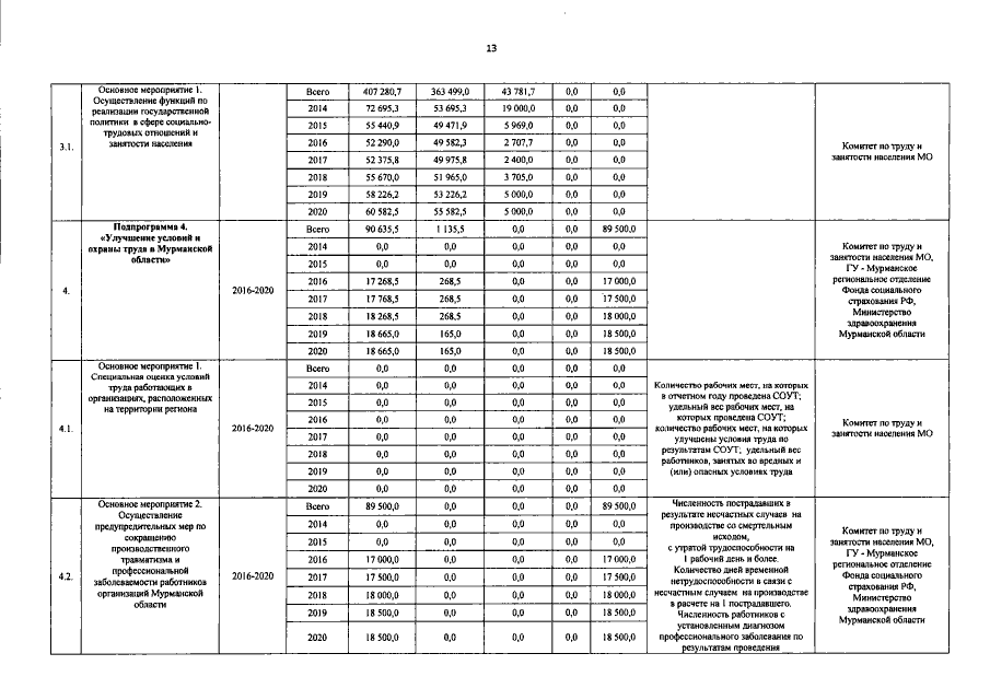
Постановление Правительства Мурманской области от 11.01.2019 № 4-ПП
"О внесении изменений в государственную программу Мурманской области "Управление развитием регионального рынка труда"
Номер опубликования: 5100201901150004
Дата опубликования: 15.01.2019
Страница №14 из 44:
Увеличить