Официальное опубликование правовых актов
ОФИЦИАЛЬНОЕ ОПУБЛИКОВАНИЕ
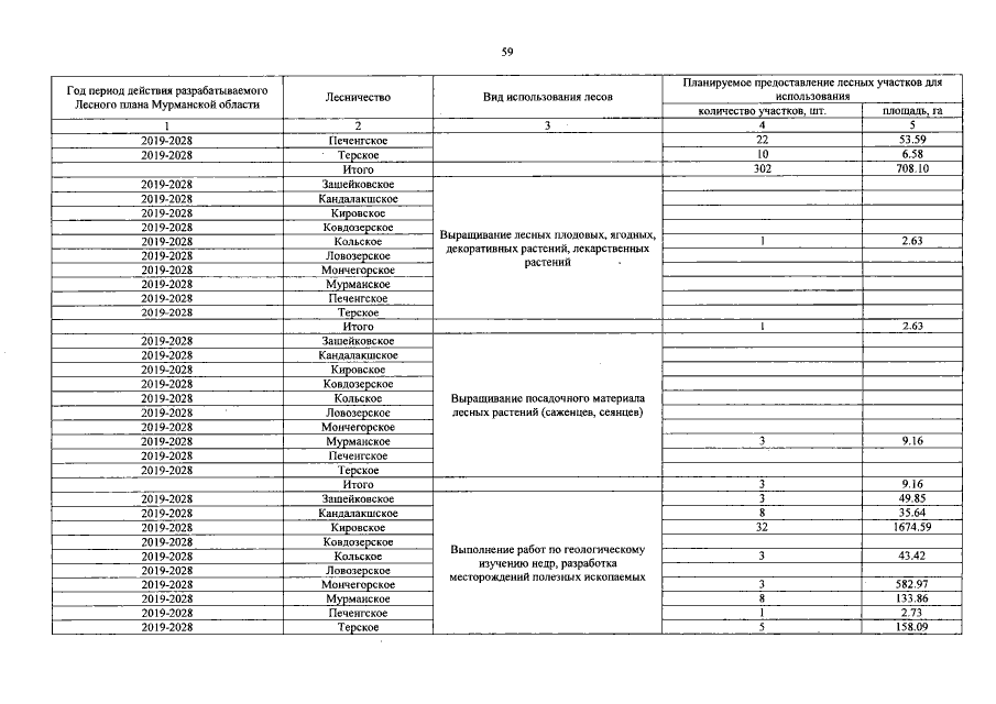
Постановление Губернатора Мурманской области от 20.03.2019 № 29-ПГ
"Об утверждении лесного плана Мурманской области"
Номер опубликования: 5100201903250005
Дата опубликования: 25.03.2019
Страница №135 из 182:
Увеличить