Официальное опубликование правовых актов
ОФИЦИАЛЬНОЕ ОПУБЛИКОВАНИЕ
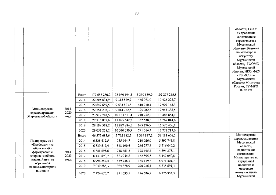
Постановление Правительства Мурманской области от 27.09.2019 № 445-ПП
"О внесении изменений в государственную программу Мурманской области "Развитие здравоохранения"
Номер опубликования: 5100201910030008
Дата опубликования: 03.10.2019
Страница №21 из 32:
Увеличить