Официальное опубликование правовых актов
ОФИЦИАЛЬНОЕ ОПУБЛИКОВАНИЕ
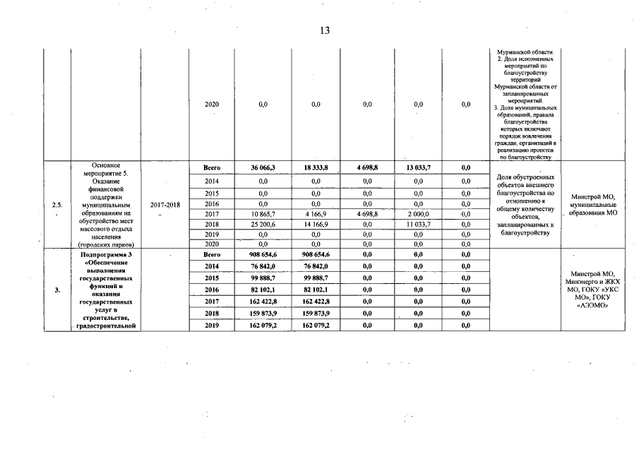
Постановление Правительства Мурманской области от 12.12.2019 № 569-ПП
"О внесении изменений в государственную программу Мурманской области "Обеспечение комфортной среды проживания населения региона"
Номер опубликования: 5100201912130002
Дата опубликования: 13.12.2019
Страница №14 из 22:
Увеличить