Официальное опубликование правовых актов
ОФИЦИАЛЬНОЕ ОПУБЛИКОВАНИЕ
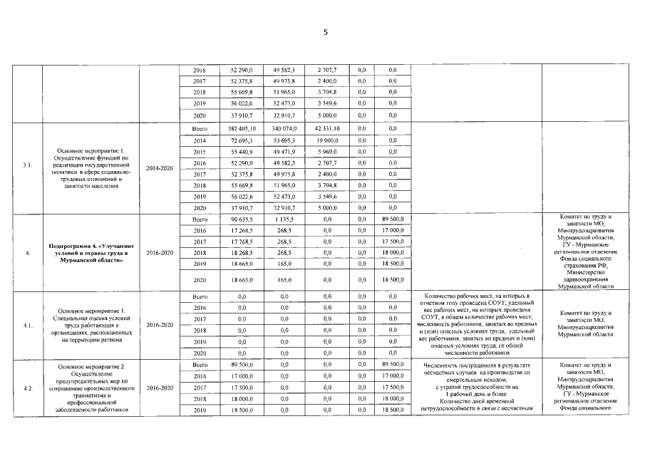
Постановление Правительства Мурманской области от 30.12.2019 № 609-ПП
"О внесении изменений в государственную программу Мурманской области "Управление развитием регионального рынка труда"
Номер опубликования: 5100202001040009
Дата опубликования: 04.01.2020
Страница №6 из 9:
Увеличить