Официальное опубликование правовых актов
ОФИЦИАЛЬНОЕ ОПУБЛИКОВАНИЕ
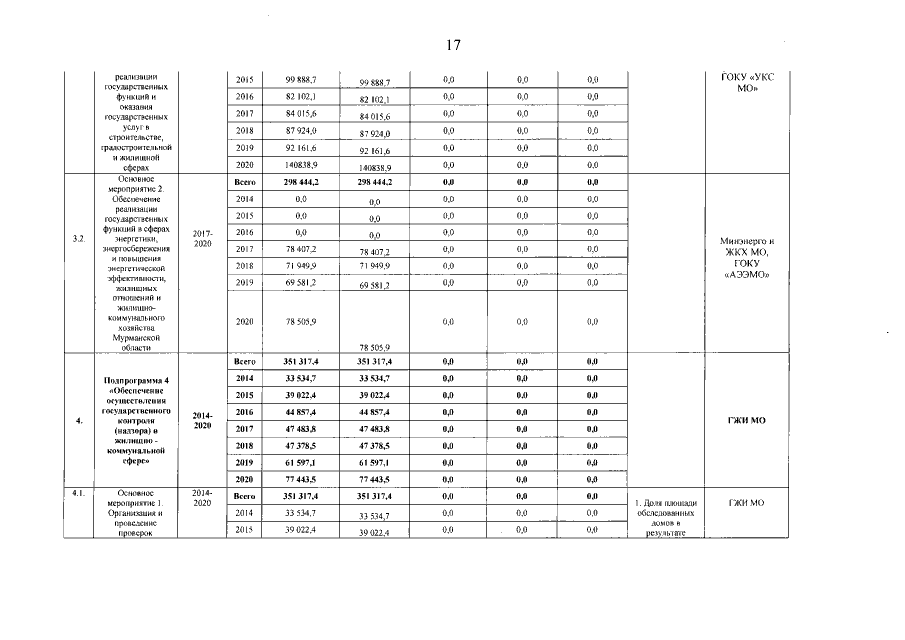
Постановление Правительства Мурманской области от 14.02.2020 № 49-ПП
"О внесении изменений в государственную программу Мурманской области "Обеспечение комфортной среды проживания населения региона"
Номер опубликования: 5100202002180006
Дата опубликования: 18.02.2020
Страница №18 из 105:
Увеличить