Официальное опубликование правовых актов
ОФИЦИАЛЬНОЕ ОПУБЛИКОВАНИЕ
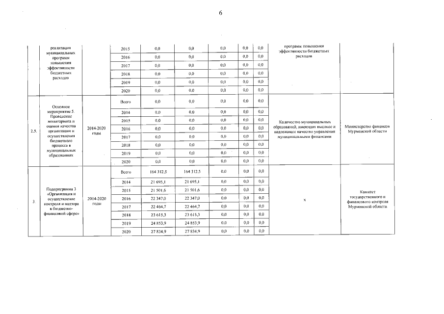
Постановление Правительства Мурманской области от 14.02.2020 № 51-ПП
"О внесении изменений в государственную программу Мурманской области "Управление региональными финансами, создание условий для эффективного и ответственного управления муниципальными финансами"
Номер опубликования: 5100202002200001
Дата опубликования: 20.02.2020
Страница №7 из 9:
Увеличить