Официальное опубликование правовых актов
ОФИЦИАЛЬНОЕ ОПУБЛИКОВАНИЕ
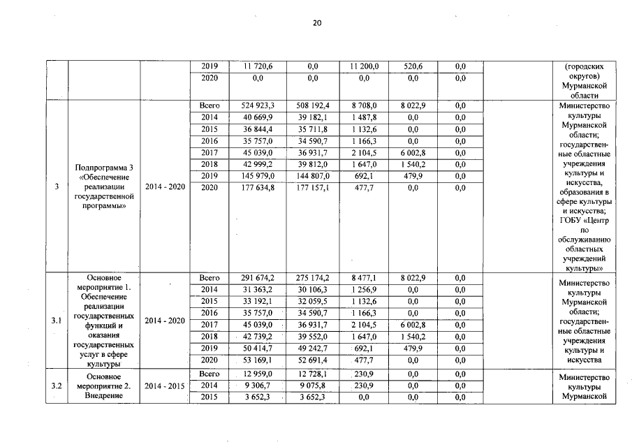
Постановление Правительства Мурманской области от 13.08.2020 № 573-ПП
"О внесении изменений в государственную программу Мурманской области "Развитие культуры и сохранение культурного наследия региона"
Номер опубликования: 5100202008180008
Дата опубликования: 18.08.2020
Страница №21 из 32:
Увеличить