Официальное опубликование правовых актов
ОФИЦИАЛЬНОЕ ОПУБЛИКОВАНИЕ
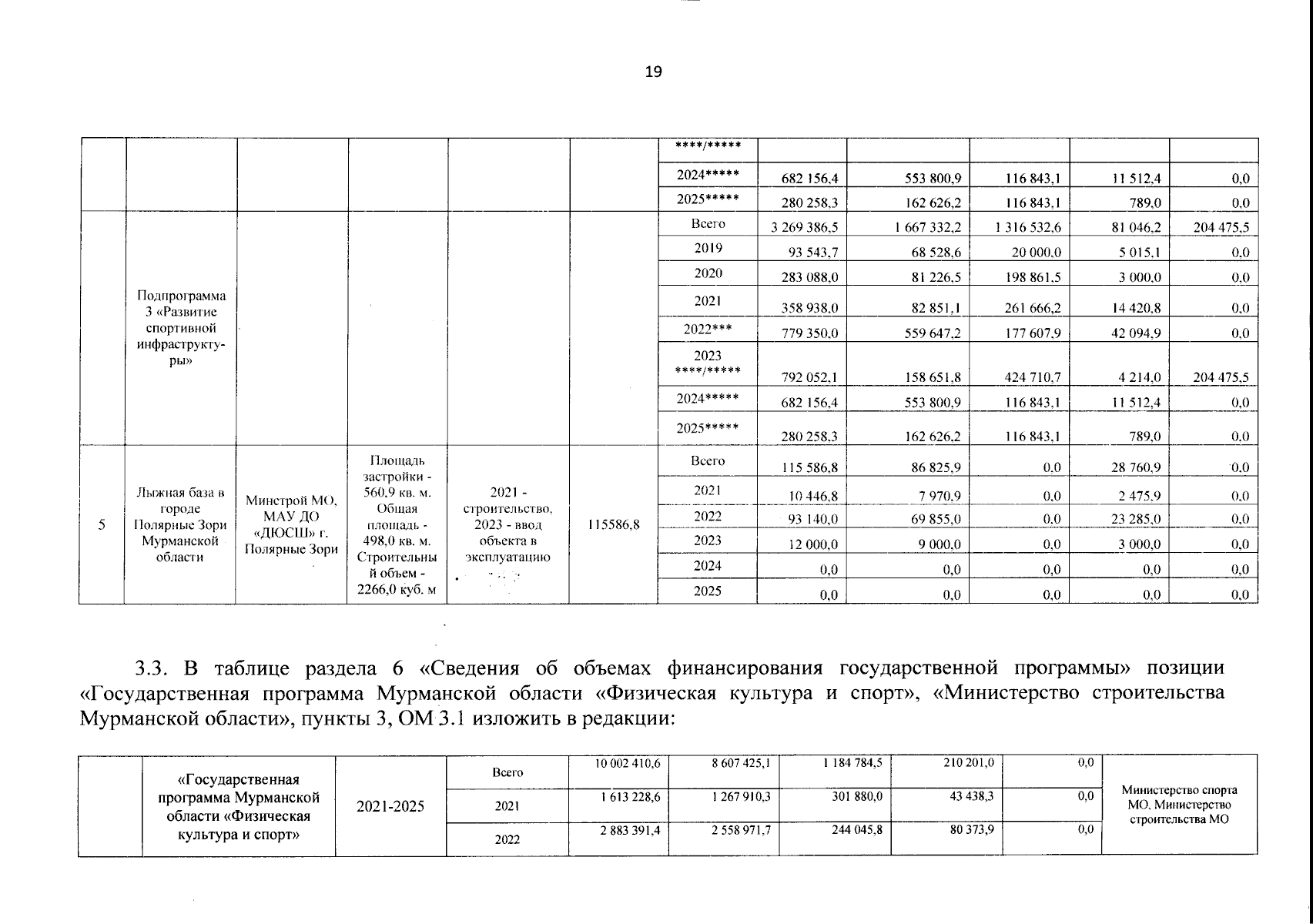
Постановление Правительства Мурманской области от 20.10.2023 № 750-ПП
"О внесении изменений в некоторые постановления Правительства Мурманской области"
Номер опубликования: 5100202310240003
Дата опубликования: 24.10.2023
Страница №20 из 26:
Увеличить