Официальное опубликование правовых актов
ОФИЦИАЛЬНОЕ ОПУБЛИКОВАНИЕ
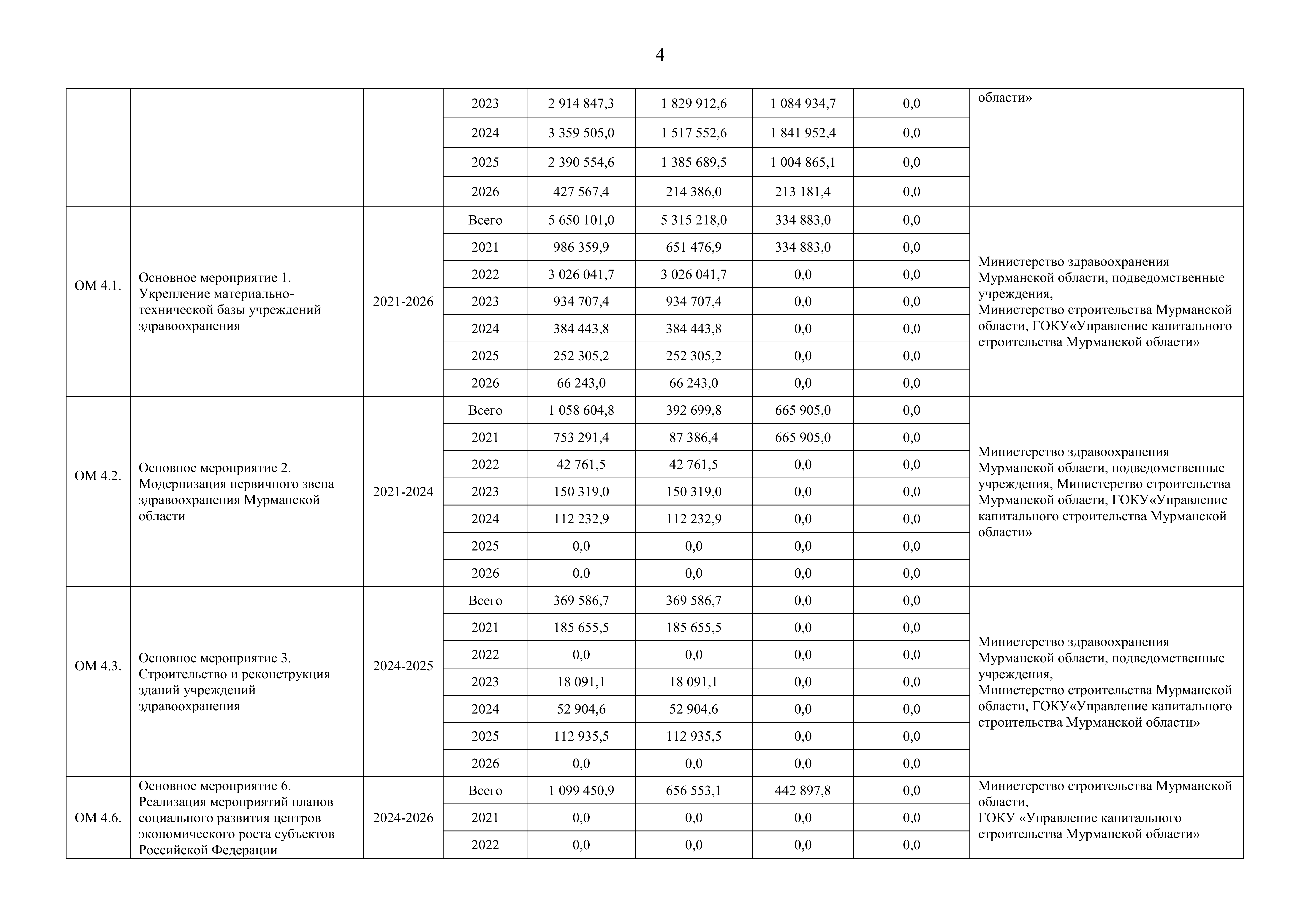
Постановление Правительства Мурманской области от 20.12.2024 № 912-ПП
"О внесении изменений в некоторые постановления Правительства Мурманской области"
Номер опубликования: 5100202412230009
Дата опубликования: 23.12.2024
Страница №5 из 23: