Официальное опубликование правовых актов
ОФИЦИАЛЬНОЕ ОПУБЛИКОВАНИЕ
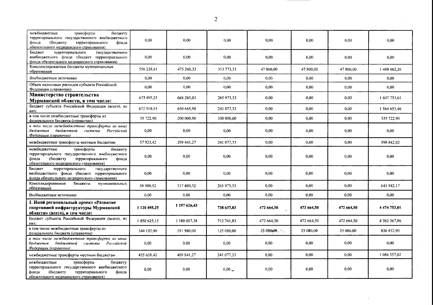
Постановление Правительства Мурманской области от 28.11.2025 № 780-ПП
"О внесении изменений в государственную программу Мурманской области "Физическая культура и спорт"
Номер опубликования: 5100202512010013
Дата опубликования: 01.12.2025
Страница №3 из 5:
Увеличить