Официальное опубликование правовых актов
ОФИЦИАЛЬНОЕ ОПУБЛИКОВАНИЕ
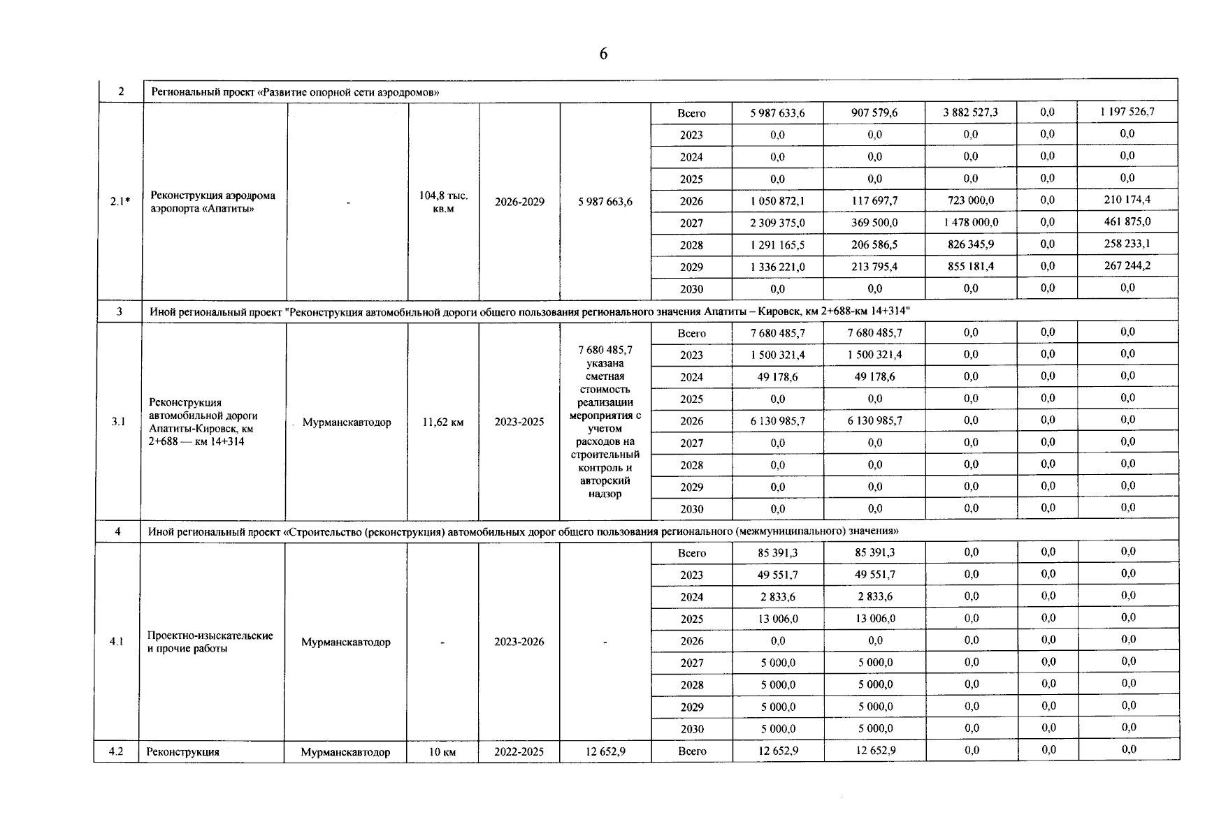
Постановление Правительства Мурманской области от 19.02.2026 № 77-ПП
"О внесении изменений в государственную программу Мурманской области "Транспортная система"
Номер опубликования: 5100202602200008
Дата опубликования: 20.02.2026
Страница №7 из 9:
Увеличить