Официальное опубликование правовых актов
ОФИЦИАЛЬНОЕ ОПУБЛИКОВАНИЕ
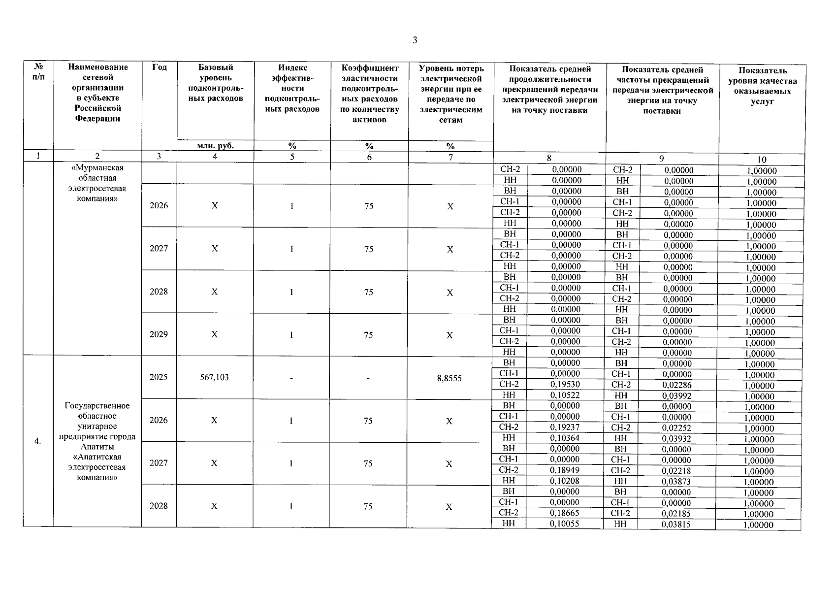
Постановление Комитета по тарифному регулированию Мурманской области от 30.05.2025 № 22/1
"О внесении изменений в отдельные постановления Комитета по тарифному регулированию Мурманской области"
(Зарегистрирован 30.05.2025 № 06-2025-44)
Номер опубликования: 5101202506020003
Дата опубликования: 02.06.2025
Страница №73 из 78:
Увеличить