Официальное опубликование правовых актов
ОФИЦИАЛЬНОЕ ОПУБЛИКОВАНИЕ
Распоряжение Министерства культуры Мурманской области от 17.02.2026 № 19
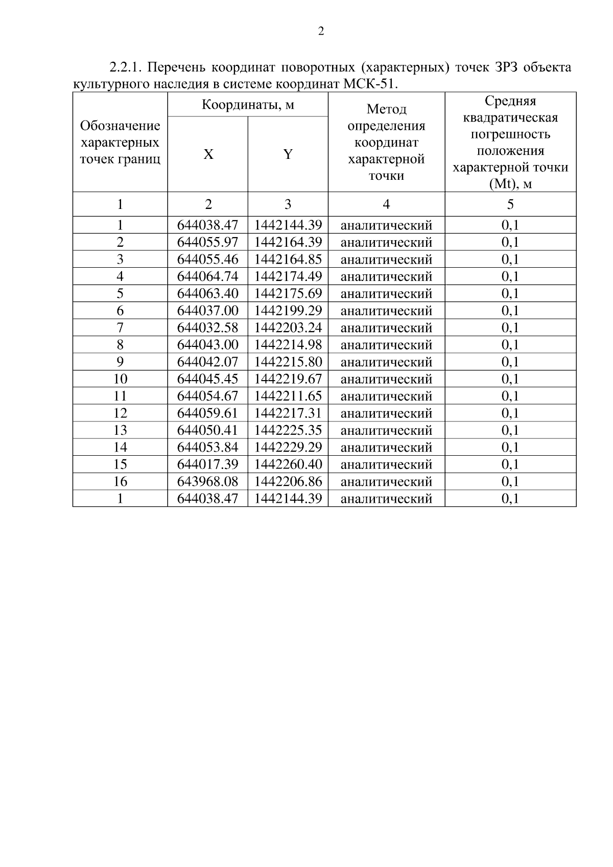
"Об установлении зон охраны (охранной зоны, зоны регулирования застройки и хозяйственной деятельности) объекта культурного наследия регионального значения "Здание школы, 1954 год (педагогический колледж)", 1954 г., местонахождение (адрес): Мурманская область, город Мурманск, улица Володарского, дом 5, а также ограничений использования земельных участков, водных объектов и их частей, требования к градостроительным регламентам в границах данных зон"
(Зарегистрирован 17.02.2026 № 12-2026-8)
Номер опубликования: 5101202602180001
Дата опубликования: 18.02.2026
Страница №7 из 12:
Увеличить