Официальное опубликование правовых актов
ОФИЦИАЛЬНОЕ ОПУБЛИКОВАНИЕ
Постановление Правительства Нижегородской области от 29.06.2015 № 409
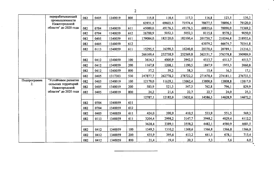
"О внесении изменений в государственную программу "Развитие агропромышленного комплекса Нижегородской области", утвержденную постановлением Правительства Нижегородской области от 28 апреля 2014 года № 280"
Номер опубликования: 5200201507010001
Дата опубликования: 01.07.2015
Страница №47 из 47:
Увеличить