Официальное опубликование правовых актов
ОФИЦИАЛЬНОЕ ОПУБЛИКОВАНИЕ
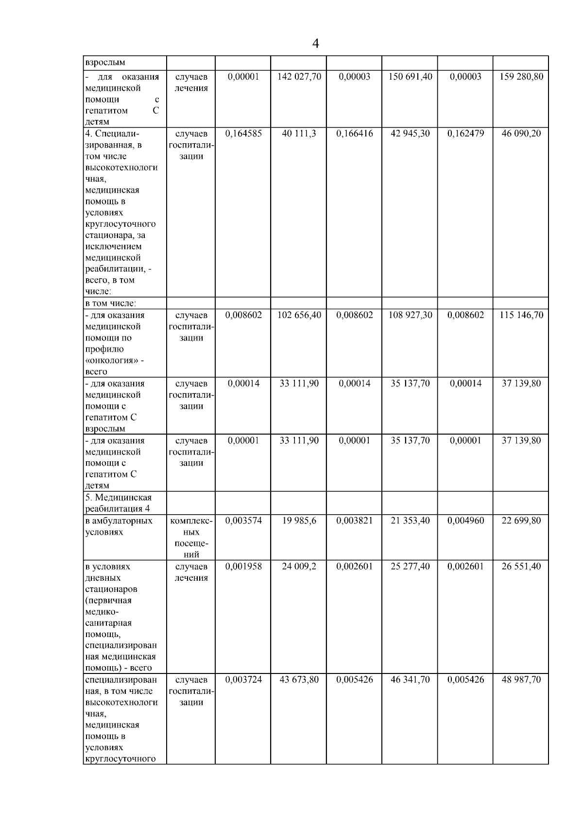
Постановление Правительства Нижегородской области от 24.11.2023 № 1015
"О внесении изменений в Программу государственных гарантий бесплатного оказания населению Нижегородской области медицинской помощи на 2023 год и на плановый период 2024 и 2025 годов, утвержденную постановлением Правительства Нижегородской области от 29 декабря 2022 г. № 1160"
Номер опубликования: 5200202311280005
Дата опубликования: 28.11.2023
Страница №4 из 38:
Увеличить