Официальное опубликование правовых актов
ОФИЦИАЛЬНОЕ ОПУБЛИКОВАНИЕ
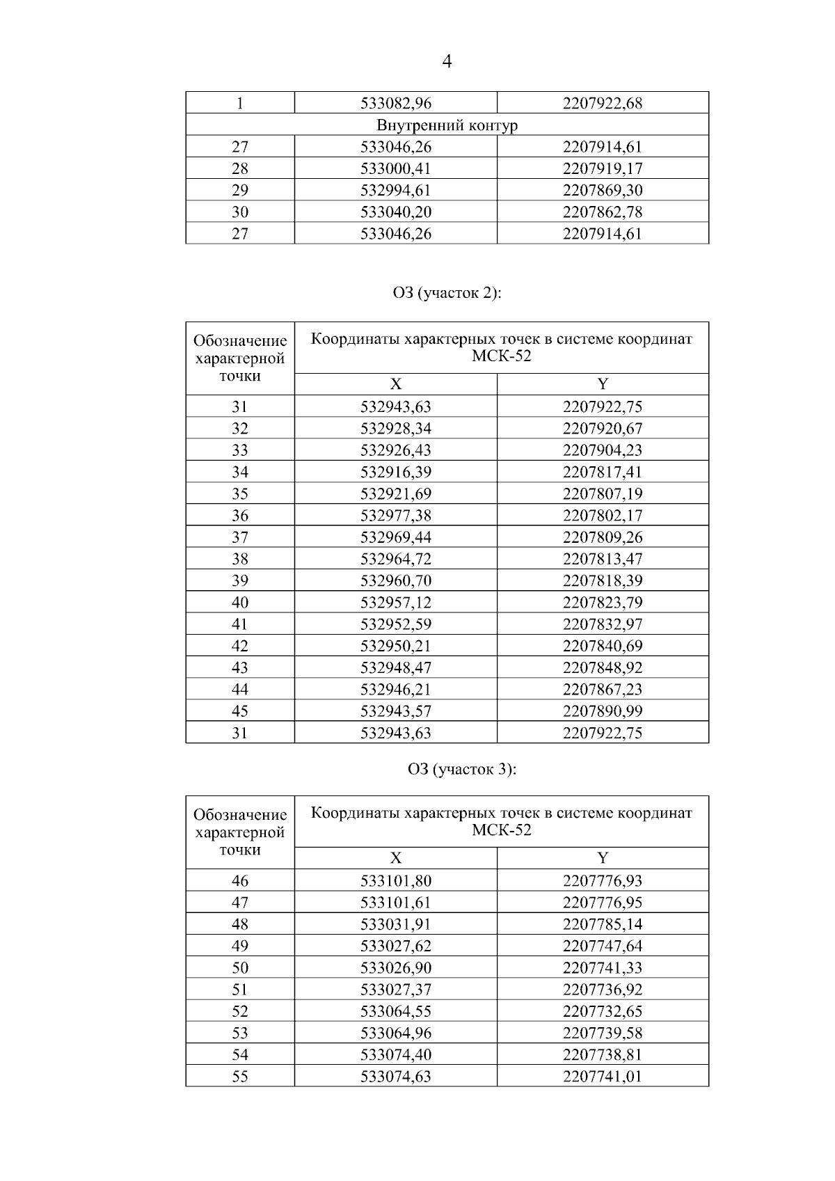
Постановление Правительства Нижегородской области от 29.12.2023 № 1173
"Об установлении зон охраны объектов культурного наследия регионального значения, расположенных на улицах Ефремова и Коминтерна в г. Нижнем Новгороде, утверждении требований к градостроительным регламентам в границах территорий данных зон"
Номер опубликования: 5200202312290028
Дата опубликования: 29.12.2023
Страница №6 из 22:
Увеличить