Официальное опубликование правовых актов
ОФИЦИАЛЬНОЕ ОПУБЛИКОВАНИЕ
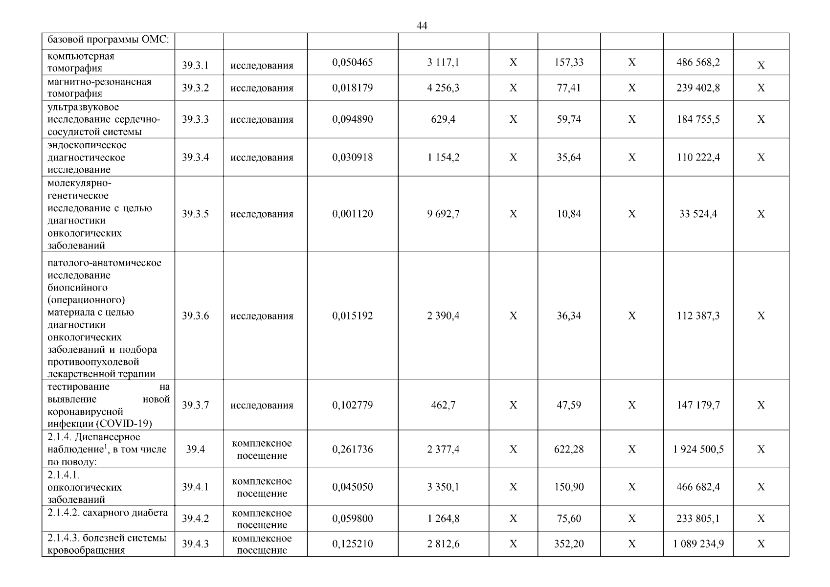
Постановление Правительства Нижегородской области от 17.05.2024 № 260
"О внесении изменений в постановление Правительства Нижегородской области от 22 декабря 2023 г. № 1096 "О территориальной программе государственных гарантий бесплатного оказания медицинской помощи гражданам в Нижегородской области на 2024 год и на плановый период 2025 и 2026 годов"
Номер опубликования: 5200202405210009
Дата опубликования: 21.05.2024
Страница №54 из 94:
Увеличить