Официальное опубликование правовых актов
ОФИЦИАЛЬНОЕ ОПУБЛИКОВАНИЕ
Постановление Правительства Нижегородской области от 19.06.2024 № 366
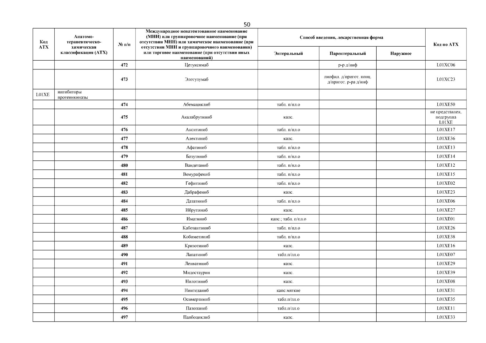
"О внесении изменений в территориальную программу государственных гарантий бесплатного оказания гражданам медицинской помощи в Нижегородской области на 2024 год и на плановый период 2025 и 2026 годов, утвержденную постановлением Правительства Нижегородской области от 22 декабря 2023 г. № 1096"
Номер опубликования: 5200202406240019
Дата опубликования: 24.06.2024
Страница №62 из 170:
Увеличить