Официальное опубликование правовых актов
ОФИЦИАЛЬНОЕ ОПУБЛИКОВАНИЕ
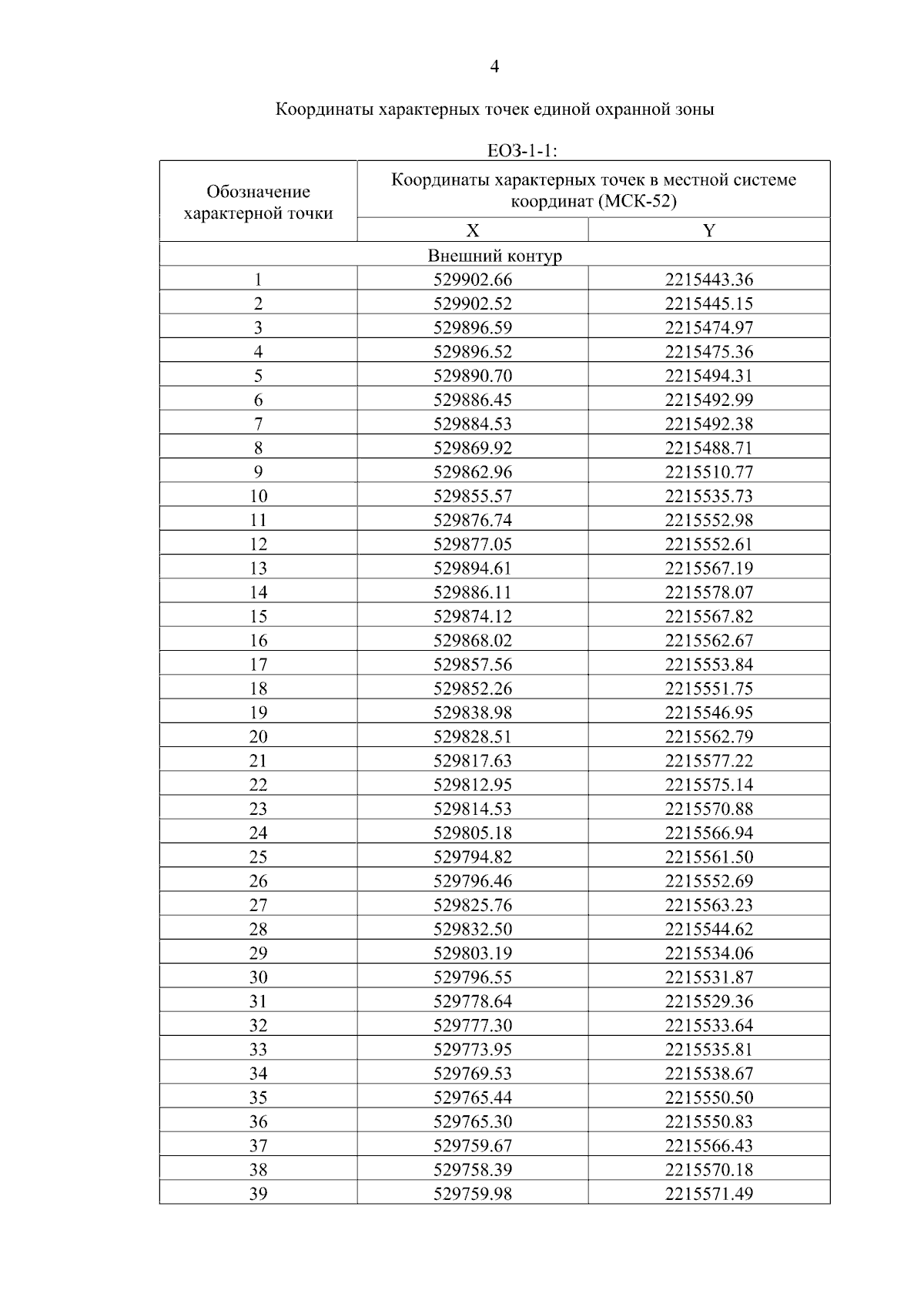
Постановление Правительства Нижегородской области от 12.12.2024 № 774
"Об установлении объединенной зоны охраны объектов культурного наследия, расположенных по ул. Ильинской в г. Нижнем Новгороде, утверждении режимов использования земель и требований к градостроительным регламентам в границах территорий данной зоны"
Номер опубликования: 5200202412120004
Дата опубликования: 12.12.2024
Страница №8 из 31:
Увеличить