Официальное опубликование правовых актов
ОФИЦИАЛЬНОЕ ОПУБЛИКОВАНИЕ
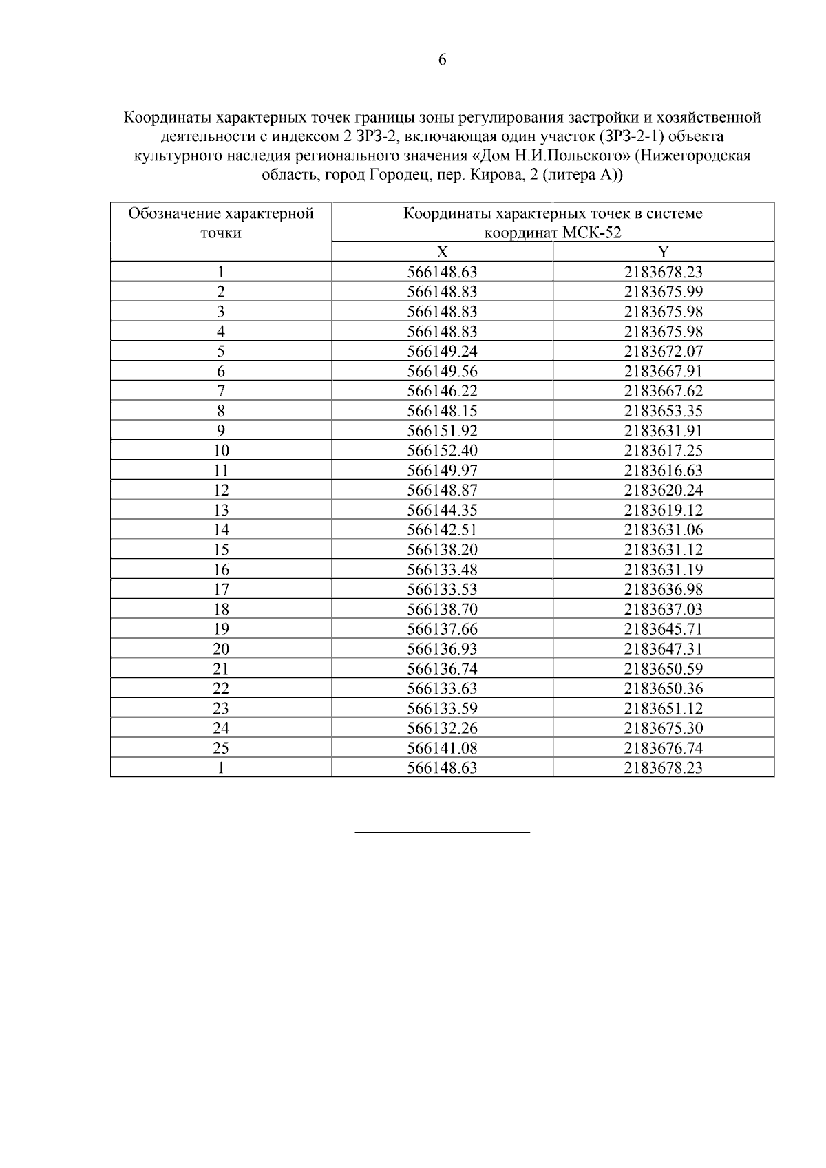
Постановление Правительства Нижегородской области от 14.02.2025 № 99
"Об установлении зон охраны обьекта культурного наследия регионального значения "Дом Н.И.Польского" (Нижегородская область, город Городец, пер. Кирова, 2 (литера А)), утверждении режимов использования земель и требований к градостроительным регламентам в границах территорий данных зон"
Номер опубликования: 5200202502140004
Дата опубликования: 14.02.2025
Страница №9 из 12:
Увеличить