Официальное опубликование правовых актов
ОФИЦИАЛЬНОЕ ОПУБЛИКОВАНИЕ
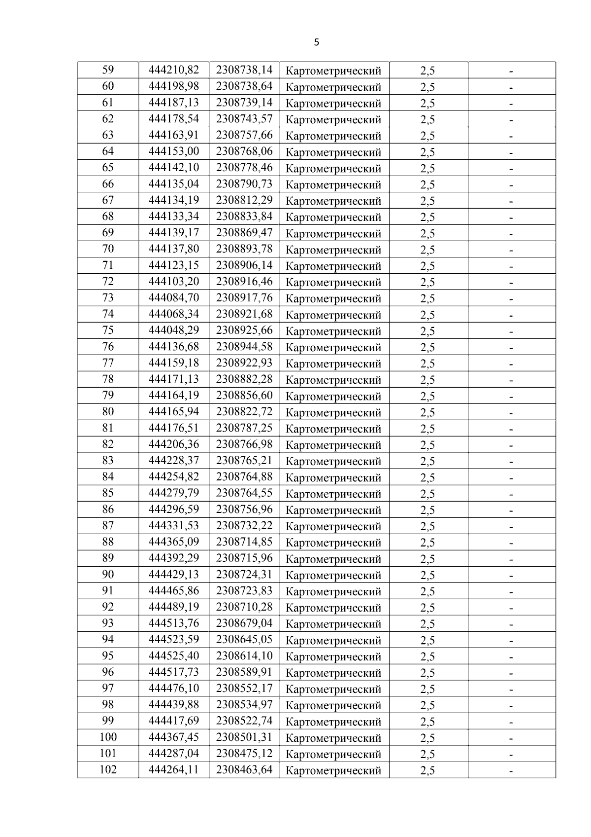
Указ Губернатора Нижегородской области от 25.04.2025 № 91
"Об установлении охранной зоны памятника природы регионального значения "Сергачский дендропарковый комплекс имени В.Н.Черепанова"
Номер опубликования: 5200202504290001
Дата опубликования: 29.04.2025
Страница №7 из 12:
Увеличить