Официальное опубликование правовых актов
ОФИЦИАЛЬНОЕ ОПУБЛИКОВАНИЕ
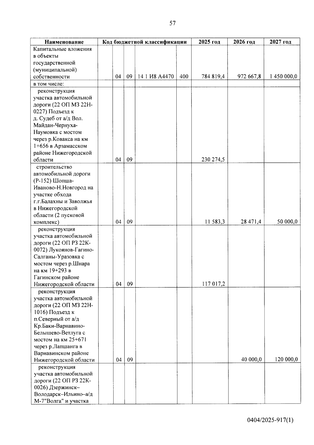
Закон Нижегородской области от 29.08.2025 № 106-З
"О внесении изменений в Закон Нижегородской области "Об областном бюджете на 2025 год и на плановый период 2026 и 2027 годов"
Номер опубликования: 5200202509040008
Дата опубликования: 04.09.2025
Страница №57 из 116:
Увеличить