Официальное опубликование правовых актов
ОФИЦИАЛЬНОЕ ОПУБЛИКОВАНИЕ
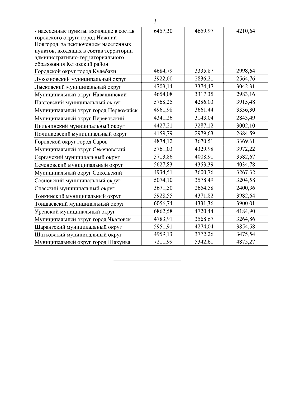
Постановление Правительства Нижегородской области от 01.04.2026 № 115
"О региональных стандартах стоимости жилищно- коммунальных услуг‚ используемых для расчета субсидий на оплату жилого помещения и коммунальных услуг на 1—2 кварталы 2026 года"
Номер опубликования: 5200202604020002
Дата опубликования: 02.04.2026
Страница №9 из 12:
Увеличить