Официальное опубликование правовых актов
ОФИЦИАЛЬНОЕ ОПУБЛИКОВАНИЕ
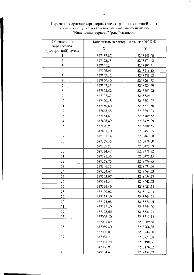
Приказ Управления государственной охраны объектов культурного наследия Нижегородской области от 27.02.2020 № 90
"Об утверждении описания местоположения границ защитных зон объектов культурного наследия, расположенных на территории Тоншаевского района Нижегородской области, режима использования земель в границах защитных зон объектов культурного наследия"
(Зарегистрирован 16.03.2020 № 14917-518-090)
Номер опубликования: 5201202003170003
Дата опубликования: 17.03.2020
Страница №4 из 9:
Увеличить