Официальное опубликование правовых актов
ОФИЦИАЛЬНОЕ ОПУБЛИКОВАНИЕ
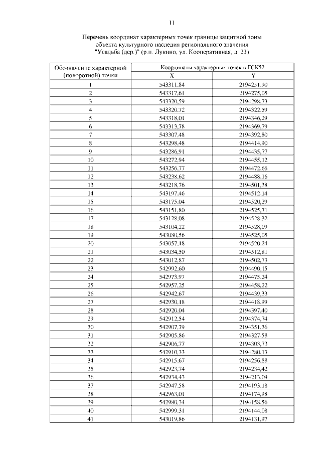
Приказ Управления государственной охраны объектов культурного наследия Нижегородской области от 24.03.2020 № 130
"Об утверждении описания местоположения границ защитных зон объектов культурного наследия, расположенных на территории Балахнинского района Нижегородской области, режима использования земель в границах защитных зон объектов культурного наследия"
(Зарегистрирован 13.04.2020 № 15057-518-130)
Номер опубликования: 5201202004160005
Дата опубликования: 16.04.2020
Страница №13 из 15:
Увеличить