Официальное опубликование правовых актов
ОФИЦИАЛЬНОЕ ОПУБЛИКОВАНИЕ
Приказ Управления государственной охраны объектов культурного наследия Нижегородской области от 14.04.2020 № 150
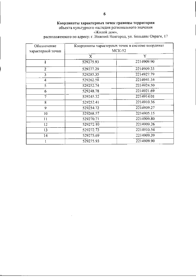
"О включении выявленных объектов культурного наследия, расположенных в городе Нижнем Новгороде на улицах Большие Овраги, Луначарского, Нижегородской, Соревнования, Сергиевской, Ярославской и территории Кремля, в единый государственный реестр объектов культурного наследия (памятников истории и культуры) народов Российской Федерации в качестве объектов культурного наследия регионального значения, утверждении границ и режима использования их территорий"
(Зарегистрирован 12.05.2020 № 15129-518-150)
Номер опубликования: 5201202005130005
Дата опубликования: 13.05.2020
Страница №10 из 28:
Увеличить