Официальное опубликование правовых актов
ОФИЦИАЛЬНОЕ ОПУБЛИКОВАНИЕ
Приказ Министерства экологии и природных ресурсов Нижегородской области от 29.06.2020 № 319-294/20П/од
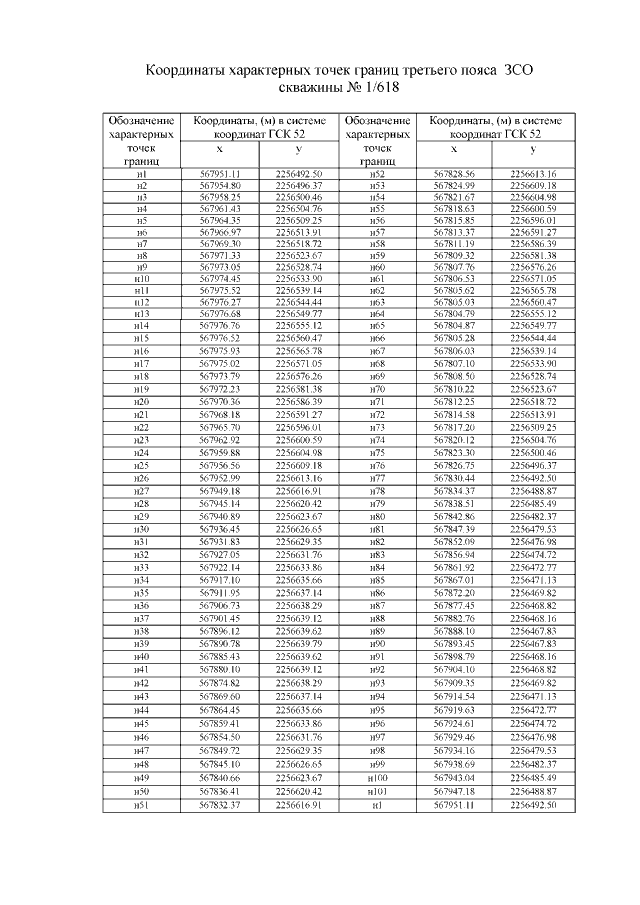
"Об установлении зоны санитарной охраны водозабора филиала ГБПОУ "Нижегородский индустриальный колледж" ДЮООЦ "Красный плес", расположенного в д. Хахалы города областного значения Семенов Нижегородской области"
(Зарегистрирован 23.07.2020 № 15331-319-319-294/20П/од)
Номер опубликования: 5201202007240004
Дата опубликования: 24.07.2020
Страница №6 из 6:
Увеличить