Официальное опубликование правовых актов
ОФИЦИАЛЬНОЕ ОПУБЛИКОВАНИЕ
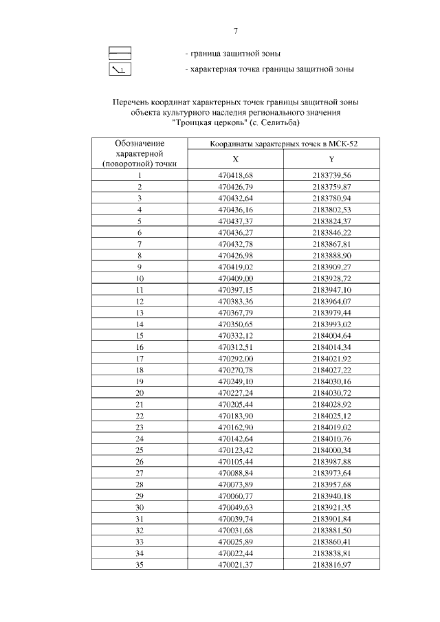
Приказ Управления государственной охраны объектов культурного наследия Нижегородской области от 16.07.2020 № 200
"Об утверждении описания местоположения границ защитных зон объектов культурного наследия, расположенных на территории Сосновского района Нижегородской области, режима использования земель в границах защитных зон объектов культурного наследия"
(Зарегистрирован 24.07.2020 № 15345-518-200)
Номер опубликования: 5201202007290001
Дата опубликования: 29.07.2020
Страница №9 из 11:
Увеличить