Официальное опубликование правовых актов
ОФИЦИАЛЬНОЕ ОПУБЛИКОВАНИЕ
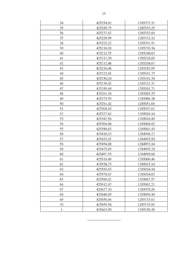
Приказ Управления государственной охраны объектов культурного наследия Нижегородской области от 20.07.2020 № 207
"Об утверждении описания местоположения границ защитных зон объектов культурного наследия, расположенных на территории Выксунского района Нижегородской области, режима использования земель в границах защитных зон объектов культурного наследия"
(Зарегистрирован 30.07.2020 № 15357-518-207)
Номер опубликования: 5201202007310003
Дата опубликования: 31.07.2020
Страница №27 из 28:
Увеличить