Официальное опубликование правовых актов
ОФИЦИАЛЬНОЕ ОПУБЛИКОВАНИЕ
Приказ Управления государственной охраны объектов культурного наследия Нижегородской области от 20.07.2020 № 206
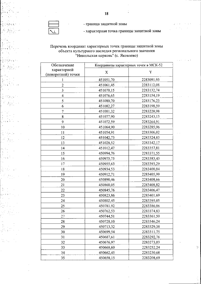
"Об утверждении описания местоположения границ защитных зон объектов культурного наследия, расположенных на территории Бутурлинского района Нижегородской области, режима использования земель в границах защитных зон объектов культурного наследия"
(Зарегистрирован 03.08.2020 № 15367-518-206)
Номер опубликования: 5201202008050003
Дата опубликования: 05.08.2020
Страница №20 из 22:
Увеличить