Официальное опубликование правовых актов
ОФИЦИАЛЬНОЕ ОПУБЛИКОВАНИЕ
Приказ Управления государственной охраны объектов культурного наследия Нижегородской области от 20.07.2020 № 209
"Об утверждении описания местоположения границ защитных зон объектов культурного наследия, расположенных на территории Володарского района Нижегородской области, режима использования земель в границах защитных зон объектов культурного наследия"
(Зарегистрирован 04.08.2020 № 15373-518-209)
Номер опубликования: 5201202008050010
Дата опубликования: 05.08.2020
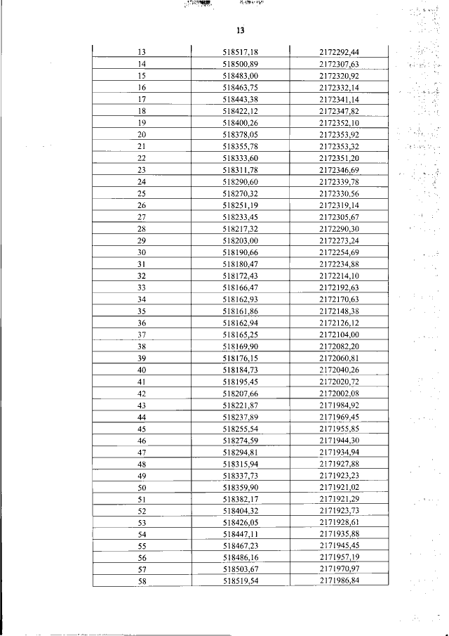
Страница №15 из 19:
Увеличить