Официальное опубликование правовых актов
ОФИЦИАЛЬНОЕ ОПУБЛИКОВАНИЕ
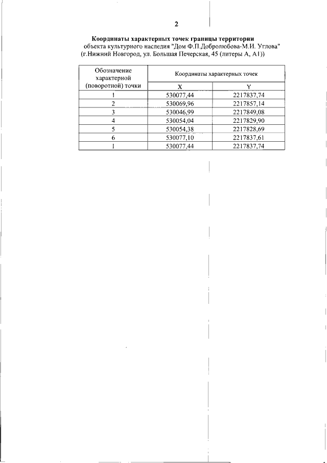
Приказ Управления государственной охраны объектов культурного наследия Нижегородской области от 01.09.2020 № 239
"Об утверждении границ и режима использования территорий объектов культурного наследия, расположенных в г. Нижнем Новгороде"
(Зарегистрирован 21.09.2020 № 15523-518-239)
Номер опубликования: 5201202009250006
Дата опубликования: 25.09.2020
Страница №4 из 8:
Увеличить