Официальное опубликование правовых актов
ОФИЦИАЛЬНОЕ ОПУБЛИКОВАНИЕ
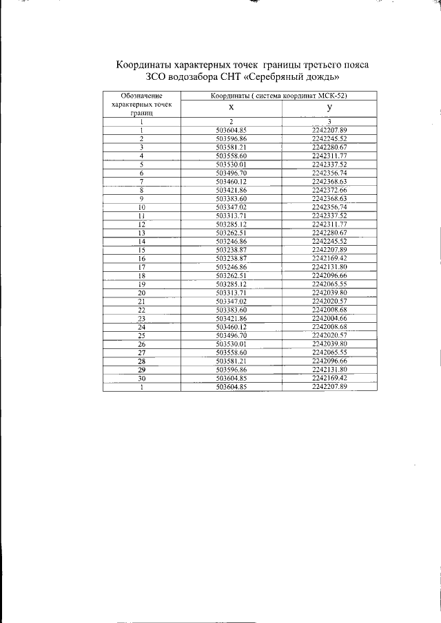
Приказ Министерства экологии и природных ресурсов Нижегородской области от 06.07.2020 № 319-300/20П/од
"Об установлении зон санитарной охраны водозабора СНТ "Серебряный дождь", расположенного в 1,6 км северо-восточнее с. Шава Кстовского района Нижегородской области"
(Зарегистрирован 25.09.2020 № 15548-319-319-300/20П/од)
Номер опубликования: 5201202010020001
Дата опубликования: 02.10.2020
Страница №7 из 7:
Увеличить