Официальное опубликование правовых актов
ОФИЦИАЛЬНОЕ ОПУБЛИКОВАНИЕ
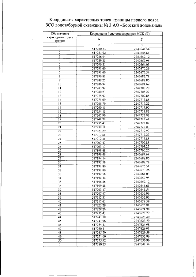
Приказ Министерства экологии и природных ресурсов Нижегородской области от 14.09.2020 № 319-364/20П/од
"Об установлении зон санитарной охраны водозабора АО "Борский водоканал" в д. Селищи городского округа г. Бор Нижегородской области"
(Зарегистрирован 05.10.2020 № 15578-319-319-364/20П/од)
Номер опубликования: 5201202010070004
Дата опубликования: 07.10.2020
Страница №4 из 7:
Увеличить