Официальное опубликование правовых актов
ОФИЦИАЛЬНОЕ ОПУБЛИКОВАНИЕ
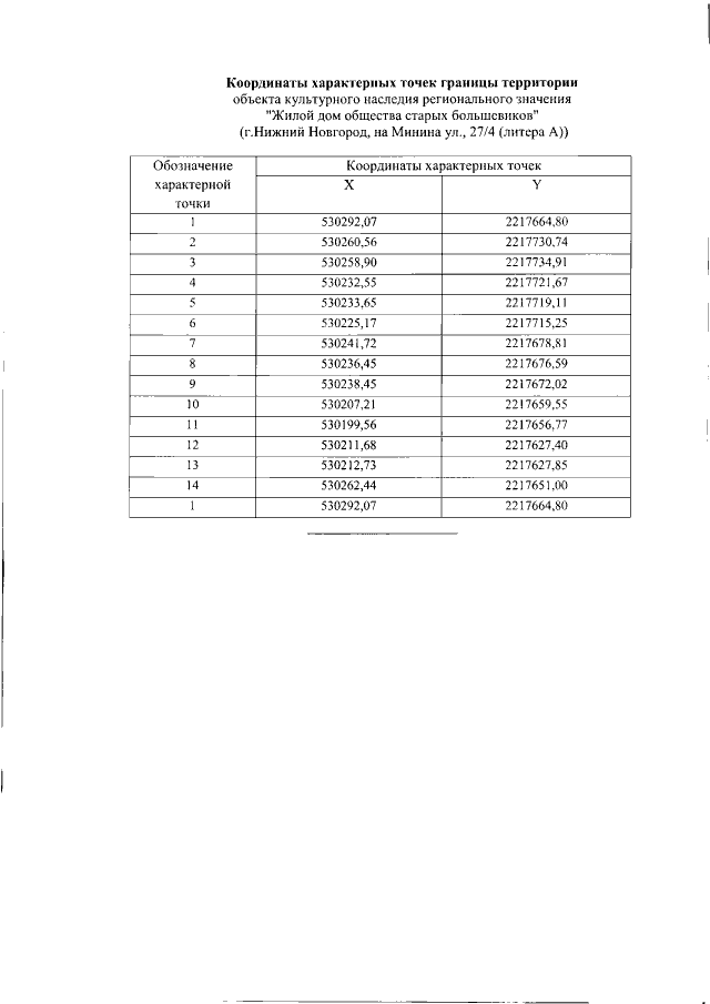
Приказ Управления государственной охраны объектов культурного наследия Нижегородской области от 25.09.2020 № 280
"Об утверждении границы и режима использования территории объекта культурного наследия регионального значения "Жилой дом общества старых большевиков" на Минина ул.‚ 27/4 (литера А) в г. Нижнем Новгороде"
(Зарегистрирован 09.10.2020 № 15597-518-280)
Номер опубликования: 5201202010090001
Дата опубликования: 09.10.2020
Страница №4 из 6:
Увеличить