Официальное опубликование правовых актов
ОФИЦИАЛЬНОЕ ОПУБЛИКОВАНИЕ
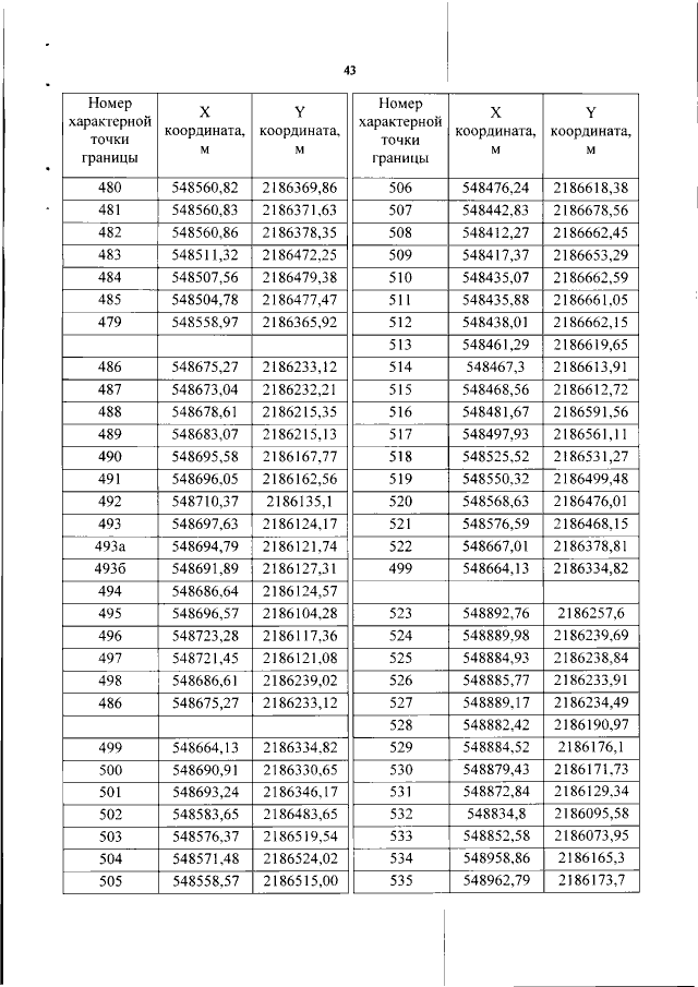
Приказ Министерства градостроительной деятельности и развития агломераций Нижегородской области от 18.09.2020 № 06-01-03/36
"Об утверждении документации по внесению изменений в проект планировки территории, расположенной к западу от города Балахны в Балахнинском районе Нижегородской области"
(Зарегистрирован 07.10.2020 № 15590-330-006-01-03/36)
Номер опубликования: 5201202010090006
Дата опубликования: 09.10.2020
Страница №47 из 52:
Увеличить