Официальное опубликование правовых актов
ОФИЦИАЛЬНОЕ ОПУБЛИКОВАНИЕ
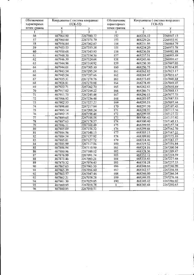
Приказ Министерства экологии и природных ресурсов Нижегородской области от 23.09.2020 № 319-377/20П/од
"Об установлении зон санитарной охраны водозабора МУП "Управляющая компания", расположенного в р.п. Большое Мурашкино Большемурашкинского района Нижегородской области"
(Зарегистрирован 14.10.2020 № 15648-319-319-377/20П/од)
Номер опубликования: 5201202010160009
Дата опубликования: 16.10.2020
Страница №12 из 12:
Увеличить