Официальное опубликование правовых актов
ОФИЦИАЛЬНОЕ ОПУБЛИКОВАНИЕ
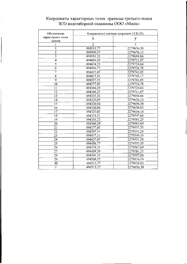
Приказ Министерства экологии и природных ресурсов Нижегородской области от 12.10.2020 № 319-396/20П/од
"Об установлении зон санитарной охраны водозаборного участка ООО "Милк", расположенного на южной окраине г. Лысково Лысковского муниципального округа Нижегородской области"
(Зарегистрирован 06.11.2020 № 15798-319-319-396/20П/од)
Номер опубликования: 5201202011060012
Дата опубликования: 06.11.2020
Страница №6 из 6:
Увеличить