Официальное опубликование правовых актов
ОФИЦИАЛЬНОЕ ОПУБЛИКОВАНИЕ
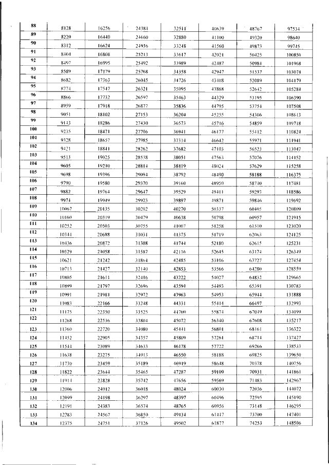
Решение правления Региональной службы по тарифам Нижегородской области от 25.12.2020 № 56/1 "Об установлении тарифов на перевозку пассажиров железнодорожным транспортом общего пользования в пригородном сообщении, осуществляемую АКЦИОНЕРНЫМ ОБЩЕСТВОМ "ВОЛГО-ВЯТСКАЯ ПРИГОРОДНАЯ ПАССАЖИРСКАЯ КОМПАНИЯ" (ИНН 5257111223), г. Нижний Новгород"
(Зарегистрирован 28.12.2020 № 16619-516-056/1)
Номер опубликования: 5201202012300011
Дата опубликования: 30.12.2020
Страница №25 из 34:
Увеличить