Официальное опубликование правовых актов
ОФИЦИАЛЬНОЕ ОПУБЛИКОВАНИЕ
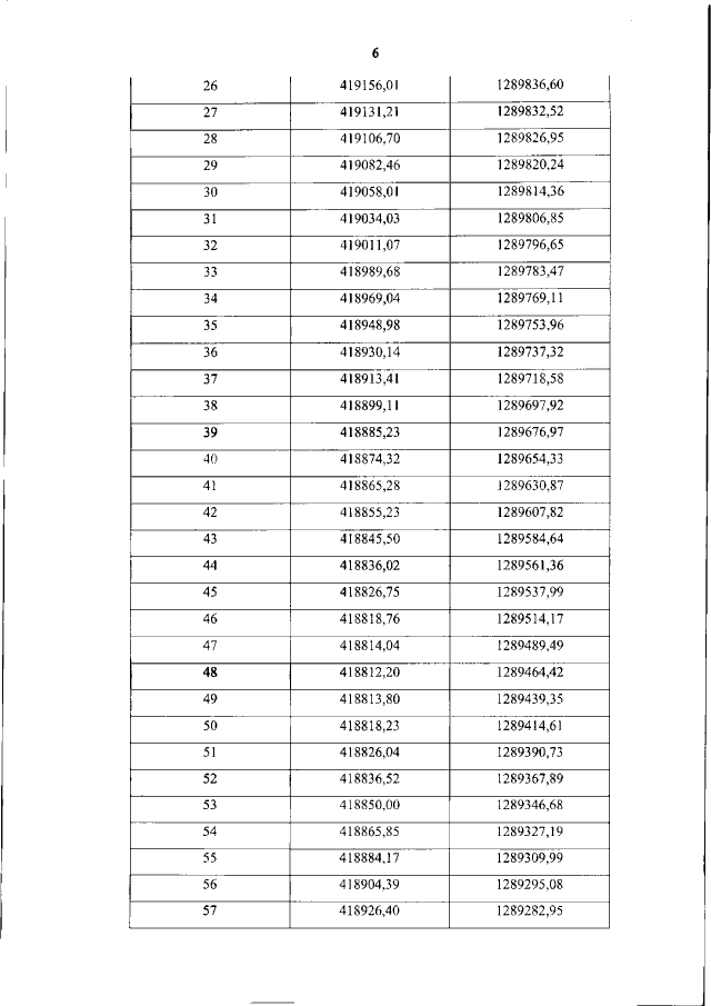
Приказ Управления государственной охраны объектов культурного наследия Нижегородской области от 11.12.2020 № 387 "Об утверждении описания местоположения границ защитных зон объектов культурного наследия, расположенных на территории городского округа г. Выкса Нижегородской области, режима использования земель в границах защитных зон объектов культурного наследия"
(Зарегистрирован 28.12.2020 № 16635-518-387)
Номер опубликования: 5201202012300015
Дата опубликования: 30.12.2020
Страница №8 из 10:
Увеличить