Официальное опубликование правовых актов
ОФИЦИАЛЬНОЕ ОПУБЛИКОВАНИЕ
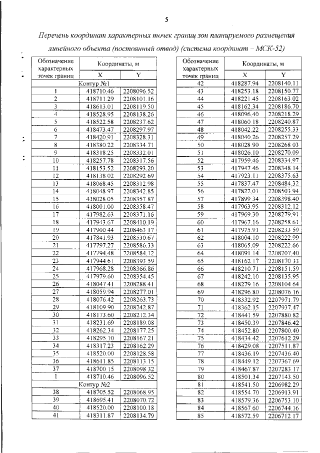
Приказ Министерства градостроительной деятельности и развития агломераций Нижегородской области от 11.01.2021 № 06-01-03/1 "Об утверждении документации по внесению изменений в документацию по планировке территории, расположенной на участке от автомобильной дороги Р-158 Н.Новгород-Арзамас-Саранск-Исса-Пенза-Саратов до автомобильной дороги 22 ОП РЗ 22К-0064 Выездное-Дивеево-Сатис в Арзамасском районе Нижегородской области"
(Зарегистрирован 02.02.2021 № 16746-330-006-01-03/1)
Номер опубликования: 5201202102050006
Дата опубликования: 05.02.2021
Страница №7 из 46:
Увеличить