Официальное опубликование правовых актов
ОФИЦИАЛЬНОЕ ОПУБЛИКОВАНИЕ
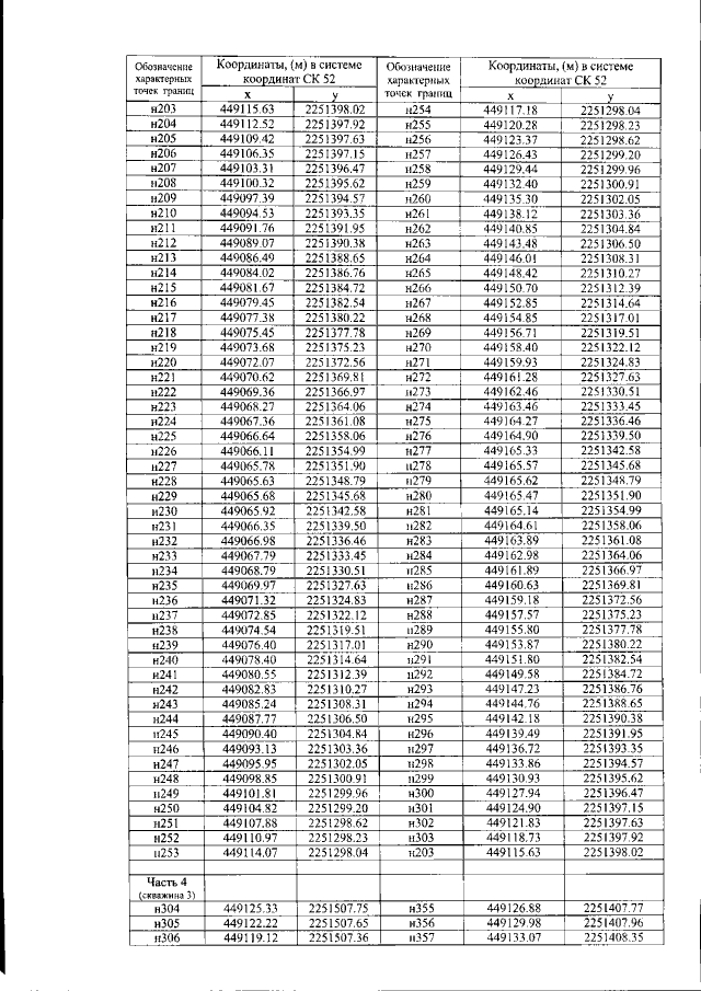
Приказ Министерства экологии и природных ресурсов Нижегородской области от 03.03.2021 № 319-101/21П/од "Об установлении зоны санитарной охраны водозабора МУП "Коммунальщик", расположенного в г.о.з. Перевоз Нижегородской области"
(Зарегистрирован 25.03.2021 № 16954-319-319-101/21П/од)
Номер опубликования: 5201202103260003
Дата опубликования: 26.03.2021
Страница №6 из 11:
Увеличить