Официальное опубликование правовых актов
ОФИЦИАЛЬНОЕ ОПУБЛИКОВАНИЕ
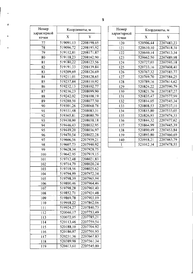
Приказ Министерства градостроительной деятельности и развития агломераций Нижегородской области от 29.03.2021 № 06-01-03/12 "Об утверждении документации по планировке территории по ул. Шнитникова, Южное шоссе, Веденяпина, Лескова, Смирнова в городском округе город Нижний Новгород"
(Зарегистрирован 14.05.2021 № 17185-330-006-01-03/12)
Номер опубликования: 5201202105210011
Дата опубликования: 21.05.2021
Страница №7 из 17:
Увеличить